中心研究人员高玉荣在国际期刊发表最新研究成果

发布时间:2024-12-20浏览次数:176


2024年,中心研究人员高玉荣在生物防腐剂研究中取得新进展,相关成果以“Antibacterial mode of action of garviecin LG34 against Gram-negative bacterium Salmonella typhimurium和“Antibacterial mechanism of garviecin LG34 against S. Aureus and L. monocytogenes and its application in milk preservation为题分别发表在FEMS Microbiology Letters和《Journal of Food Protection期刊上


研究内容简介:

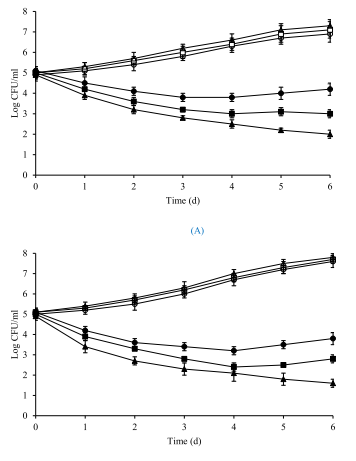
Garviecin LG34是由发酵蔬菜中分离出的Lactococcus garvieae产生的新型乳酸菌细菌素,因安全性高,抗菌谱广,具有作为新型生物防腐剂的应用前景。通过对革兰氏阳性细菌和革兰氏阴性细菌的抗菌作用,揭示了garviecin LG34的抗菌机理。

期刊简介:

FEMS Microbiology Letters》主要报道在微生物学方面的研究成果,Journal of Food Protection》主要报道食品科学中有关食品安全和质量的方面的研究成果,均为国际性期刊。

(文、图/高玉荣 初审/晏娟 终审/陈小举)